Approfondimenti sull’immunomodulatore
Quadro generale descritto in termini del tutto semplici in merito ai fatti reali che accompagnano il preparato Bi.Bran MGN-3 e ai suoi apporti
Il preparato Bi.Bran MGN-3 è stato sviluppato in Giappone nel 1992 da Hiroaki Maeda, attuale direttore del centro di ricerca e sviluppo della società Daiwa Pharmaceutical Co., Ltd. a Tokyo. Maeda si dedicava allo studio di soluzioni per gli uomini e per gli animali sulla base di sostanze nutritive vegetali naturali. Alla fine degli anni ’80 iniziò a rivolgere la propria attenzione ai polisaccaridi, di cui era nota la loro azione di rafforzamento del sistema immunitario. E così riuscì a sviluppare un integratore proprio per il sistema immunitario: AHCC®.
Dopo l’operato nella società Daiwa Pharmaceutical, all’epoca diretta da Yasuo Ninomiya, Maeda ha sviluppato un nuovo complesso di polisaccaridi a catena corta (principalmente a base di arabinossilani ed altre emicellulose), cui ha conferito il nome generico di MGN-3. La sigla è formata dalle iniziali dei cognomi Maeda, Ghoneum e Ninomiya, ai quali va il merito di aver sviluppato il prodotto, mentre il numero 3 si riferisce alla terza generazione del prodotto. (La maggior parte delle ricerche immunologiche sono state poi realizzate da Mamdooh Ghoneum, professore di immunologia presso l’Università di Medicina e Scienze Charles R. Drew di Los Angeles). La società Daiwa ha successivamente commercializzato il prodotto MGN-3 col nome commerciale di Bi.Bran.
D: Cos’è propriamente il composto di arabinossilano Bi.Bran MGN-3?
Da diversi anni a questa parte è ben noto e documentato che le grosse molecole di alcuni polisaccaridi – carboidrati compressi come la fibra vegetale – riescono a stimolare il sistema immunitario. In generale, secondo le ricerche, le fibre sono correlate a riduzione del livello di colesterolo, miglioramento del metabolismo dello zucchero e diminuzione della tossicità intestinale; inoltre, la crusca di riso ha anche proprietà antivirali, mentre per quanto riguarda le fibre di determinati tipi di funghi è stato dimostrato che esse potenziano la risposta immunitaria. Come ben sappiamo, però, le fibre vegetali sono per lo più non digeribili da parte dell’organismo umano e non fanno che passare attraverso il corpo. Ne consegue che tutti i loro vantaggi restano praticamente inutilizzati dal sistema immunitario. Se però scindiamo le molecole lunghe dei polisaccaridi (nello specifico, molecole della crusca di riso) in molecole più piccole, chiamate emicellulose, tra cui le più potenti sono proprio i composti arabinossilanici, i suddetti vantaggi non solo si moltiplicano, ma diventano soprattutto utilizzabili da parte del sistema immunitario umano. I composti così adattati hanno infatti un peso molecolare sufficientemente basso perché il corpo umano riesca ad assorbirli nella circolazione sanguigna mediante l’intestino tenue.
Il maggior produttore di questo tipo di integratori alimentari con emicellulose è la società giapponese Daiwa Pharmaceutical, che possiede il brevetto per il processo unico nel suo genere di scissione di fibre di crusca di riso (parzialmente idrolizzate) mediante enzimi ricavati da estratti di funghi Shitake (lat. Lentinula edodes). Il risultato di questa lavorazione è una miscela natura e straordinaria di emicellulose, il cui componente principale è rappresentato da un composto di arabinossilano , b-1,4-xilopironase emicellulosa. (Il fungo Shitake costituisce uno degli ingredienti utilizzati per la produzione del preparato. Tuttavia, le persone intolleranti ai funghi possono tranquillamente assumere il prodotto senza temere nessuna reazione, dato che nel prodotto finale non rimane neppure la minima traccia del fungo). Qui di seguito riportiamo un’illustrazione della molecola base della fibra e, successivamente, la sua scissione o forma “ridotta” (nel caso specifico emicellulosa chiamata arabinossilano).

Componente polisaccaride (da crusca di riso) > enzimi del fungo Shitake > componente emicellulosa arabinossilano (componente principale della miscela Bi.Bran MGN-3)
La miscela risultante di composti di emicellulose porta il nome generico di Bi.Bran MGN-3 – abbreviato come Bi.Bran. (Nella ricerca è comunemente utilizzata la sigla MGN-3, ovvero la denominazione generica dei produttori, ma si usa anche un altro titolo generico – MRB – ovvero le iniziali dell’espressione inglese Modified Rice Bran Fiber o fibra di crusca di riso modificata). Si utilizza anche l’espressione composto arabinossilanico Bi.Bran, dal momento che l’arabinossilano è uno dei componenti principali. In quanto miscela di composti naturali (emicellulose) costituita da tutta una gamma di polisaccaridi a catena corta, Bi.Bran è molto più idoneo per l’organismo rispetto alle sostanze formate da un solo composto (ovvero quelle comunemente contenute nei medicinali convenzionali). Grazie all’ampia gamma di componenti naturali, questa sostanza non manifesta la minima tossicità e non ha alcun effetto collaterale indesiderato.
D: Qual è l’effetto sull’organismo?
Il composto arabinossilanico Bi.Bran MGN-3 è in grado di stimolare il sistema immunitario indebolito (vedi testo a destra) in maniera più intensa e più sicura di qualsiasi altra sostanza naturale o sintetica. Il professor Mamdooh Ghoneum, docente di immunologia presso l’Università di Medicina e Scienze Charles R. Drew, California, afferma addirittura che Bi.Bran è l’immunomodulatore più potente che egli abbia mai testato nella propria carriera. Il meccanismo preciso è attualmente ancora sconosciuto. Sembra però che il preparato agisca per via di un incremento della produzione corporea di citochine naturali, come interferoni, interleuchine e fattori di necrosi tumorale, che non solo aiutano direttamente a distruggere le cellule degenerate e i virus, ma al tempo stesso potenziano l’attività dei linfociti – delle cellule B, cellule T e soprattutto cellule NK (natural killer); in questa maniera dunque risvegliano il sistema immunitario. Le cellule B hanno il compito di produrre gli anticorpi. Le cellule T e NK girano invece per il corpo e distruggono le cellule colpite da virus o batteri e quelle cancerogene degenerate. (Una sola cellula NK, nel proprio ciclo di vita, è in grado di annientare fino a 27 cellule tumorali; si attacca ad esse come una ventosa e inietta in esse dei granuli chimici letali che nel giro di 5 minuti distruggono completamente la cellula anomala).
Sistema immunitario
Il sistema immunitario rappresenta la forza collettiva di un miliardo di globuli bianchi, midollo osseo, anticorpi, citochine e ghiandola timo – ovvero un esercito che contribuisce a scoprire e distruggere milioni di microorganismi (batteri, virus, parassiti, funghi) che giorno dopo giorno si infiltrano nel nostro corpo, comprese altre migliaia di nostre cellule che mutano in cellule geneticamente anomale o tumorali. Il sistema immunitario è considerato di complessità pari a quella del sistema nervoso. Non solo è in grado di produrre anticorpi specifici per ciascuno dei milioni di vari agenti infettivi, ma riesce a memorizzare per interi decenni anche il modo in cui produrre di nuovo il dato anticorpo nel caso in cui ve ne fosse bisogno.
Quando l’organismo è sottoposto a stress o patologie, può succedere che il sistema immunitario si sovraccarica e l’attività delle cellule protettive subisce rallentamenti. Quando a queste situazione si associa poi una terapia medicamentosa (per es. chemioterapia nel caso di tumori), l’attività del sistema immunitario viene ostacolata ancora di più. Il sistema immunitario indebolito non è in grado di proteggere sufficientemente l’organismo contro contaminazioni, diffusione di infezioni e proliferazioni tumorali.
Ai fini della prevenzione delle malattie e della loro terapia è pertanto assai importante ottimizzare il funzionamento del sistema immunitario, specie delle cellule NK, che costituiscono il 15% dei globuli bianchi e sono considerate come le “unità di élite” del sistema. Ciascun incremento della loro attività ha il potenziale di aumentare non solo le possibilità ma anche la velocità di guarigione. Per tale motivo la ricerca sugli immunomodulatori si concentra spesso soltanto su questo parametro, ovvero l’attività delle cellule NK. Si tratta infatti di un parametro facilmente misurabile (in laboratorio mediante test di separazione 51Cr) e fornisce un quadro alquanto attendibile sulla forza generale del sistema immunitario. La maggior parte degli studi dedicati al preparato Bi.Bran comprendeva su larga scala il test dell’attività delle cellule NK ed è stato dimostrato che Bi.Bran MGN-3 riesce a potenziare l’attività rallentata delle cellule NK anche oltre il 300%.
Al tempo stesso, Bi.Bran è in grado di incrementare l’attività indebolita delle cellule T del 250% e delle cellule B del 200%. Lo stesso vale anche per l’attività degli altri fattori del sistema immunitario, come il TNF. Quest’effetto viene raggiunto senza alcuna tossicità concomitante o effetti collaterali indesiderati (a differenza di quanto accade con le citochine sintetiche, attualmente impiegate dagli oncologi, dove – come anche nel caso dell’interleuchina-2 – può insorgere tossicità anche di carattere estremo).
Qui di seguito riportiamo un grafico che mostra l’aumento previsto dell’attività delle cellule NK già dopo due settimane di integrazione del Bi.Bran nell’alimentazione. L’attività delle cellule NK è scientificamente valutata nella maniera seguente: si prende una provetta con cellule tumorali vive e vi si inserisce un campione di sangue del paziente; dopo quattro ore, mediante un marker radioattivo, si misura la quota di cellule distrutte da parte delle cellule NK nel sangue. Malgrado il fatto che la somministrazione del preparato nell’ambito di quest’esperimento sia stata arrestata dopo 2 settimane, l’attività delle cellule NK è rimasta al di sopra del gruppo controllo ancora per diverse altre settimane successive.

Attività delle cellule NK > Assunzione di 2 g al giorno per 2 settimane / gruppo Bi.Bran MGN-3 / gruppo controllo / numero di settimane
La ricerca ha anche mostrato che, se il Bi.Bran viene inserito nella dieta regolare, la stimolazione del sistema immunitario può anche non scemare col tempo. L’assenza di iporesponsività (ovvero il fatto che dopo assunzione prolungata non si verifichino diminuzioni degli effetti) è un aspetto alquanto insolito per i preparati immunomodulatori; in altre parole, Bi.Bran funziona costantemente anche in caso di assunzione a lungo termine. L’attività delle cellule NK raggiunge di norma il proprio acme all’incirca dopo uno o due mesi di assunzione di dosi alte; dopo di che si può passare ad un dosaggio più basso, di mantenimento (vedi oltre Dosaggio). Il tempo di raggiungimento dell’apice dell’attività nel paziente dipende dalla quantità della dose giornaliera.
Recentemente è stato dimostrato che Bi.Bran ha anche effetti antinfiammatori sull’organismo. Il responsabile del reparto sviluppo della società Daiwa Pharmaceutical, Dr. Endo ha deciso di provare su di sé il Bi.Bran contro dolori agli arti superiori causati da artrite reumatoide. I dolori hanno iniziato progressivamente a regredire. In termini generali si considera che, oltre alle conseguenze comunemente manifeste delle infiammazioni sull’organismo (le cosiddette patologie che terminano col suffisso –ite, come l’artrite, ma anche le allergie), un’infiammazione nel corpo aumenta anche il tasso di mutazione cellulare. Riducendo il rischio di infiammazioni potremmo dunque contribuire a minimizzare anche il rischio di insorgenza del cancro.
La capacità di aumentare l’attività del sistema immunitario e ridurre le infiammazioni fa del preparato Bi.Bran un integratore alimentare importante per un gran numero di situazioni. (Facciamo notare che, in relazione al preparato Bi.Bran, le ricerche sono state effettuate prevalentemente in riferimento alla sua influenza sul cancro. Per quanto concerne le infezioni virali e batteriche o il diabete sono necessarie ulteriori ricerche).
Cura generale della salute — Bi.Bran MGN-3, aumentando l’attività dei globuli bianchi, contribuisce a rafforzare il sistema immunitario anche nelle persone sane. La sua assunzione rafforza l’immunità e potenzia la capacità dell’organismo di distruggere le infezioni e la proliferazione delle cellule fin dalle prime fasi, ovvero prima che esse inizino a diffondersi. Migliorando il funzionamento del sistema immunitario, Bi.Bran contribuisce alla rigenerazione dell’organismo nelle persone che non si sentono bene.
Cancro — Applicato in combinazione con un buon programma terapeutico, Bi.Bran aiuta l’organismo a far salire le chance di sopravvivenza (mediante attivazione dei globuli bianchi e promozione dell’eliminazione delle cellule degenerate). È anche in grado di migliorare la qualità della vita nei pazienti in chemioterapia o terapia ormonale, grazie alla capacità di mitigare gli effetti collaterali dei farmaci impiegati in questo tipo di terapie. (Si osserva molte volte soprattutto una riduzione della nausee e della perdita di capelli). NI vantaggi più intensi si registrano nei tumori del sangue (come la leucemia e il mieloma multiplo). Si osservano inoltre buoni risultati anche negli altri tipi di cancro, come linfomi, tumori ovarici, prostatici, mammari (per ulteriori informazioni sui risultati delle ricerche si rimanda a clinical research). Va sottolineato che Bi.Bran non è di per sé un medicinale contro il cancro, ma un utile integratore per i programmi terapeutici oncologici sotto la supervisione di un medico qualificato. La giusta terapia riesce a ridurre anche di molto il volume delle cellule tumorali nell’organismo (nell’ambito di un processo che possiamo definire come demolizione), e contemporaneamente Bi.Bran aiuta il sistema immunitario a gestire tutto il resto. (Le ricerche finalizzate agli effetti dell’arabinossilano contenuto nel preparato Bi.Bran contro il cancro vengono per lo più realizzate in concomitanza con terapie convenzionali in corso).
Infezioni virali come HIV, AIDS ed epatite B e C — Nei pazienti affetti da queste condizioni, Bi.Bran è in grado di aumentare i parametri immunologici (come la produzione di interferoni gamma, GOT, GPT e gamma GPT). Le ricerche in vitro hanno dimostrato che il preparato riesce ad inibire la replicazione del virus HIV senza alcuna tossicità concomitante. Ribadiamo che il Bi.Bran in sé non è un medicinale con queste indicazioni, ma piuttosto un integratore di programmi terapeutici adeguati definiti da un medico qualificato. (Bi.Bran ha un tasso di successo minimo per quanto riguarda la sindrome da fatica cronica. Con molta probabilità ciò è dovuto al fatto che questa sindrome è assai più complessa di una qualsiasi infezione puramente virale).
Infezioni batteriche come raffreddori, stati febbrili e avvelenamenti da prodotti alimentari — In questi casi Bi.Bran riesce ad accelerare il processo di guarigione in associazione a terapie convenzionali, rafforzando il sistema immunitario. (Le prove dell’efficacia di Bi.Bran contro le infezioni batteriche sono per lo più verbali, ma in linea di principio queste affermazioni non contrastano con quanto ci si possa normalmente attendere dall'attività di un sistema immunitario rinvigorito).
Diabete — Bi.Bran contribuisce ad aumentare la tolleranza al glucosio. In ogni caso NON DEVE ESSERE mai considerato come sostituto dell’insulina e non bisogna assolutamente cessare di misurare il livello di glicemia durante l’assunzione di Bi.Bran. Questo campo in particolare necessita comunque di ulteriori ricerche.
Stati infiammatori — Bi.Bran riduce le reazioni infiammatori nell’organismo e in questo modo contribuisce ad apportare alleviamenti sintomatici su tutta la gamma di condizioni infiammatorie, compresa l’artrite. Agisce sopprimendo le infiltrazioni, soprattutto dei leucociti neutrofili nel tessuto infiammato. Questa sua capacità non è stata però finora clinicamente testata per gli esseri umani. Secondo le ricerche recenti, in ogni modo, esiste un legame assai stretto tra reazioni infiammatorie eccessive nell’organismo e anomalie nella crescita delle cellule.
Allergie — Alla stessa stregua della riduzione delle reazioni infiammatorie, Bi.Bran è anche in grado di ridurre i sintomi delle allergie. Sopprime la degranulazione dei granulociti basofili – cellule che costituiscono serbatoi naturali di istamina (responsabile delle manifestazioni allergiche).
D: Questi dati si basano sulla ricerca clinica?
A differenza della maggior parte degli altri integratori naturali, l’arabinossilano contenuto nel preparato Bi.Bran MGN-3 ha dietro di sé ricerche cliniche di tutto rispetto (vedi clinical research), con moltissimi studi realizzati su esseri umani. E molti di questi studi sono stati pubblicati su riviste mediche recensite. Le varie ricerche sono state portate avanti presso l’Università Charles R. Drew, parte integrante dell’Università della California di Los Angeles, presso diverse cliniche ed ospedali europei e diverse università e centri di ricerca sanitari in Giappone, tra cui l’Università di Chiba, l’Università femminile di Kobe, l’Università di Medicina di Jichi, l’Università Nippon, l’Università di Kyushu, l’Università di Nagoya, l’Università di Kyoto, l’Università di Medicina di Toyama e l’Università di Medicina di Kawasaki.
Alla guida delle ricerche sul Bi.Bran v’è il Dr. Mamdooh Ghoneum, professore presso la Cattedra di Immunologia dell’Università di Medicina e Scienze Charles R. Drew, USA. Il Dr. Ghoneum, attualmente una personalità di caratura internazionale nel campo dell’approccio immunoterapeutico nella cura del cancro, ha conseguito il dottorato (PhD.) in radioimmunologia presso l’Università di Tokyo e da allora si dedica proprio al settore dell’immunologia presso l’Università della California, a Los Angeles. Nel corso degli ultimi 20 anni ha esaminato diverse sostanze che sono in grado di migliorare il funzionamento del sistema immunitario. Secondo quanto da egli stesso descritto, Bi.Bran MGN-3 è il composto immunomodulatore più potente che egli abbia mai testato. I risultati lo hanno galvanizzato a tal punto che attualmente dedica l’integrità della propria attività scientifica alla terapia tramite questo tipo di composto.
Nonostante il fatto che la ricerca sulla risposta immunitaria legata al composto di arabinossilano contenuto nel preparato Bi.Bran abbia ottenuto risultati assai positivi su tutta una serie di patologie (dal cancro al diabete, fino alle infezioni virali come AIDS ed epatite B e C), si rende ancora necessario eseguire ulteriori ricerche cliniche di maggior ampiezza e di tipo in vivo, che contemplino anche studi a doppio cieco, al fine di definire con esattezza in che misura l’incremento della risposta immunitaria osservata (specie nell’attività delle cellule NK) influenza le statistiche sulle guarigioni e sul tasso di sopravvivenza ai suddetti stati patologici.
D: Il Bi.Bran presenta qualche forma di tossicità o effetti collaterali?
No. Il composto di arabinossilano contenuto nel preparato Bi.Bran è un prodotto naturale privo di effetti indesiderati o collaterali tossici. Ne danno conferma i test ematici e le analisi della funzionalità epatica e renale in persone che hanno assunto alte dosi di questo composto per diversi mesi. L’unica controindicazione ovvia ed evidente risiede nel fatto che, come immunomodulatore in grado di stimolare il sistema immunitario, questo preparato non dovrebbe essere assunto in associazione a farmaci immunosoppressivi.
Nella preparazione del prodotto si impiegano enzimi di funghi. Tuttavia, nel prodotto finale non rimane la minima traccia di funghi. Per questa ragione il prodotto può essere tranquillamente assunto anche da pazienti con nota intolleranza ai funghi, senza temere alcuna reazione allergica. Il composto è approvato dall’Associazione giapponese per l’alimentazione sana ed è anche conforme ai rigidissimi standard di valutazione del ministero della sanità nipponico.
D: In quali dosi e quando va assunto il Bi.Bran?
L’organismo non oppone e non sviluppa alcuna resistenza al Bi.Bran nel corso del tempo. Pertanto, questo integratore alimentare può essere assunto in tutta sicurezza e con la massima efficacia anche per periodi di tempo prolungati, senza necessità di incremento graduale del dosaggio (come invece accade per gli altri immunomodulatori).
Nella fase di ricerca il Bi.Bran è stato impiegato per lo più secondo il dosaggio di 30 - 45 mg/kg/giorno, suddiviso in più dosi da assumere dopo i pasti, con successiva dose di mantenimento da 15 mg/kg/giorno. Per il semplice mantenimento di buone condizioni di salute si consiglia il dosaggio di 500 mg al giorno (se non si assumono contemporaneamente anche lieviti); per un sostegno maggiore dell’immunità (per esempio in caso di artrite, diabete, epatite B, epatite C e altre infezioni) si consigliano 1000 mg al giorno; per i casi più gravi, quando il sistema immunitario è fortemente indebolito (in caso di cancro o AIDS), 3 g al giorno per 1 mese e poi 1 g al giorno.
Bi.Bran va assunto sempre dopo i pasti (preferibilmente 30 minuti dopo). Le dosi giornaliere piuttosto alte vanno suddivise in tre porzioni da assumere dopo colazione, pranzo e cena. Se il paziente che assume il preparato è molto malato, può continuare ad assumere la dose di 3 g al giorno anche a lungo termine.
Fatta eccezione per i casi in cui il preparato è impiegato solo per il mantenimento del buono stato di saluto, consigliamo ai pazienti in cura di informare sempre il proprio medico curante, affinché il preparato possa essere correttamente inserito nel protocollo terapeutico personale.
Studi scientifici sull’efficacia e sul meccanismo dell’effetto del preparato Bi.Bran MGN-3
Quadro scientifico esaustivo sul preparato arabinossilanico MGN-3. Autore: Hiroaki Maeda (A cura di: Chris Gutch PhD), settembre 2003
Bi.Bran guide download
Bi.Bran - Rice Bran Arabinoxylan Compound
1. INTRODUZIONE
La fibra e le altre sostanze non digeribili presenti negli alimenti sono apprezzate come sostanze che hanno un forte impatto favorevole sulla salute umana, agiscono positivamente sul mantenimento dell’omeostasi e svolgono compiti terapeutici nel corpo umano che sono ben diversi da quelli assicurati dalle sostanze nutritive basilari. Servono in particolare a favorire il metabolismo dei grassi e degli zuccheri, migliorare l’ambiente intestinale e inibire la tossicità delle sostanze pericolose contenute nel cibo.
Nei nostri alimenti le fibre si trovano soprattutto nei vegetali, nelle alghe e nei microorganismi, mentre un’altra porzione consistente è costituita dai polimeri degli zuccheri (polisaccaridi). Sono a disposizione numerosi studi a supporto dell’azione immunostimolante dei polisaccaridi presenti nei prodotti alimentari e nei microorganismi di fermentazione; tanto che è stata coniata un’espressione ben specifica per questo tipo di sostanze, modificatori della risposta biologica (acronimo inglese BRM). Rientrano in questa categoria i polisaccaridi come lo zimosano (β-1-3 glucano), le componenti strutturali delle pareti cellulari del lievito di birra, la chitina o le componenti strutturali delle pareti cellulari di altri lieviti (α-1-6-mannano) e gli elementi strutturali delle pareti cellulari dei funghi, come lo shitake (lat. Lentinula edodes), il suehirotake (lat. Schizophyllum commune) e il kawaratake (lat. Polyporus versicolor, noto anche come Yun zhi o coda di tacchino [ndt]) (con contenuto di β-1-3 glucano), ecc. Alcune di queste sostanze sono impiegate nella cura del cancro come immunostimulatori. Vengono somministrate prevalentemente per via intravenosa, poiché sono caratterizzate da un peso molecolare relativamente elevato (0,5-1 milioni di dalton), con conseguente forte limitazione del loro eventuale uso per via orale.
Sulla scorta di tali informazioni scientifiche sui polisaccaridi e sul loro potenziale immunostimolatore, Bi.Bran MGN-3 (Bi.Bran) – come integratore elementare con attività immunostimolante – è stato miratamente sviluppato in maniera tale da agire mediante assunzione orale.
2. SVILUPPO DEL DERIVATO DI ARABINOSSILANO DI CRUSCA DI RISO (Bi.Bran MGN-3)
Le fibre della crusca di riso sono costituite da cellulosa, lignina ed emicellulosa. Quest’ultima sostanza a sua volta si suddivide in emicellulosa insolubile A ad alto peso molecolare ed emicellulosa solubile B a basso peso molecolare. L’emicellulosa è un eteroglicano con struttura altamente ramificata e complessa, formata da zuccheri (specie arabinosio e xilosio) ed altre componenti come ramnosio, galattosio, mannosio, glucosio, acido urico, ecc. L’emicellulosa B è composta da una molecola relativamente piccola con grado di polimerizzazione pari a circa 200, così da poter essere assorbita dall’intestino tenue dopo assunzione orale.
La decomposizione parziale dell’emicellulosa B è stata raggiunta mediante enzimi in grado di scindere i carboidrati. Il risultato sono dei derivati con intensa azione immunostimolante, specie per quanto riguarda le cellule NK, con struttura chimica illustrata nella Fig. 1.

Arabinosio > Xilosio > Arabinossilano Bi.Bran MGN-3®
Nella produzione industriale, come enzima per la produzione di questi derivati, viene utilizzato un complesso di carboidrasi contenente α, β-glucosidasi, α, β-galattosidasi, β-1-4-glucosidasi e β-1-3-glucosidasi, generato al di fuori dell’organismo del fungo shitake.
3. AZIONE FISIOLOGICA DEL DERIVATO DI ARABINOSSILANO DI CRUSCA DI RISO (Bi.Bran)
3.1 ImunoREGOLAZIONE
(a) Aumento dell’attività delle cellule NK umane con l’ausilio di arabinossilano modificato di crusca di riso (Bi.Bran MGN-3)
1. Test in vitro
Un certo numero di cellule NK del ratto è stato incubato insieme a cellule tumorali bersaglio K-562 in presenza di Bi.Bran MGN-3; successivamente, mediante test di separazione 51Cr, è stata misurata la quantità di cellule K-562 decomposte. La concentrazione aumentata di cellule decomposte è stata valutata in relazione alla concentrazione di Bi.Bran MGN-3 (25 µg/ml o 100 µg/ml). Il risultato ha confermato che l’aumento dell’attività delle cellule NK è stato causato dall’azione del preparato Bi.Bran MGN-3.

Attività delle cellule NK > Concentrazione di MGN-3 (µg/ml)
2. Test in vivo (sui ratti)
Bi.Bran MGN-3 è stato somministrato oralmente ad alcuni ratti Sprague-Dawley e dopo due settimane è stata misurata l’attività delle cellule NK. I ratti sono stati suddivisi in tre gruppi da 5 individui, con somministrazione di dosi con concentrazioni da 0,5 mg, 5 mg, e 50 mg/kg/giorno. A seconda della concentrazione del dosaggio di Bi.Bran MGN-3 somministrato, è stata misurata anche l’attività aumentata delle cellule NK. Nei gruppi con dosi da 0,5 mg, 5 mg e 5 mg l’attività ha subito incrementi rispettivamente del 119%, 130% o 142% (rispetto al gruppo controllo). Nel gruppo con dose da 50 mg, l’attività è impennata al 132% rispetto al gruppo controllo già dopo tre giorni dall’inizio della somministrazione del preparato. L’incremento dell’attività delle cellule NK, generato dal preparato Bi.Bran MGN-3, può essere attribuito all’intensificazione della forza distruttrice delle cellule NK, ma allo stesso tempo è dipeso anche dal numero complessivo di cellule NK. Sono state anche osservate le differenze negli effetti tra soggetti maschi e femmine ed è stata riscontrata un’efficacia del prodotto più intensa nelle femmine (Fig. 3).

Attività delle cellule NK (%) > Concentrazione del preparato Bi.Bran MGN-3
3. Azione sull’uomo
Nell’ambito dei test dell’azione del preparato Bi.Bran MGN-3 sugli esseri umani, sono stati presi in considerazione 24 individui sani (15 donne e 9 uomini con età media 34 anni). Questi individui hanno assunto il preparato per 60 giorni ed è stata monitorata l’attività delle loro cellule NK. I partecipanti sono stati suddivisi in 3 gruppi da 8 persone, con dosi giornaliere pari a 15 mg/kg, 30 mg/kg e 45 mg/kg/peso corporeo. A ciascun partecipante è stato prelevato un campione di sangue (20 ml) prima dell’inizio dell’assunzione del preparato, dopo una settimana di assunzione, dopo un mese, dopo due mesi (dall’inizio dell’assunzione) e a un mese dal termine dell’assunzione; ed è stata misurata l’attività delle cellule NK. Nei gruppi con dosi da 30 mg e 45 mg, dopo una settimana di assunzione del preparato, l’attività delle cellule NK è aumentata del doppio, e dopo due mesi del triplo. Nel gruppo con dosi da 15 mg l’attività è cresciuta rapidamente dopo un mese dall’inizio dell’assunzione; e dopo due mesi aveva già raggiunto quasi lo stesso livello dei gruppi da 30 mg e 45 mg. Un mese dopo la cessazione dell’assunzione, l’attività delle cellule NK è tornata al livello registrato prima del test (Fig. 4). I risultati suggeriscono dunque che già delle dosi da 15 – 45 mg/kg di Bi.Bran MGN-3 al giorno hanno un impatto reale sull’attività delle cellule NK umane.

Dipendenza dell’attività delle cellule NK rispetto all’assunzione del preparato Bi.Bran MGN-3 (a livello temporale e di dosaggio) contro le cellule tumorali K562…_.._.._.._ = 45mg/kg/giorno; …………=30mg/kg/giorno; _______=15mg/kg/giorno
4. Meccanismo di azione del preparato Bi.Bran MGN-3 sulle cellule NK
Entrambi i test, in vitro e in vivo, hanno confermato aumenti della quantità di granuli citotossici nelle cellule NK stimolate da Bi.Bran MGN-3. È stata anche studiata la capacità di queste cellule di legarsi con le cellule bersaglio. Nel test, le cellule NK di un individuo sottoposto a dosi da 45 mg/kg di Bi.Bran MGN-3 al giorno per 30 giorni sono state incubate insieme a cellule bersaglio K-562. Successivamente è stata valutata la loro capacità di legarsi con le cellule bersaglio. Dopo un’incubazione comune di un’ora alla temperatura di 4°C è stato misurato un livello pari a 200 cellule NK ed è stato valutato il tasso di formazione di legami con le cellule K-562. Nell’individuo che assumeva Bi.Bran MGN-3 il tasso di formazione di legami delle cellule NK con le cellule bersaglio (K-562) è risultato molto più alto che prima dell’inizio dell’assunzione (38,5% contro il 9,4%). La Fig. 6 riporta una fotografia di questi legami.
Percentuale di formazione di legami tra natural killer (cellule NK) e cellule bersaglio K562. Legenda:% di legami > Prima dell’assunzione > Dopo l’assunzione
Formazioni letali di cellule NK e cellule tumorali bersaglio.
Ghoneum M. (Università Ch. R. Drew, USA):INT. IMMUNO THERAPY XIV (2) p.89-99, 1998
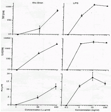
(b) Effetto in vitro del preparato Bi.Bran MGN-3 sulle attività di cellule del gruppo dei macrofagi
È stato analizzato l’effetto del Bi.Bran MGN-3 sulle cellule del gruppo dei macrofagi, per quanto riguarda l’induzione della produzione di mediatori farmacologici (nello specificto mediatori TNF-A, IL-6 e NO). I macrofagi sono stati incubati insieme al preparato Bi.Bran MGN-3 a diverse concentrazioni (da 1 a 100 µg/ml); successivamente sono stati testati i supernatanti in riferimento alla presenza dei già menzionati mediatori. Il TNF-a è stato analizzato in base alla citotossicità verso L929, l’IL-6 in base alla citosi B13.19 e il NO colorimetricamente in base alla reazione con reattivo di Griess. Come controllo positivo è stato impiegato LPS.
- Con applicazione di linea cellulare murina di macrofagi RAW264.7, Bi.Bran MGN-3 ha mostrato un effetto assai intenso su tutti e tre i suddetti mediatori già a concentrazioni superiori a 10 µg/ml, analogamente a LPS.
- Impiego di macrofagi peritoneali murini (C3H/He). La Fig. 7 illustra l’effetto del preparato Bi.Bran MGN-3 sulla secrezione dei macrofagi dalla cavità peritoneale nel topo normale. Bi.Bran MGN-3 ha mostrato anche qui un effetto assai intenso a concentrazioni superiori a 10 µg/ml.
- Linea cellulare di macrofagi umani U937. MGN-3 ha indotto un’attività intensa, come suggeriscono i livelli misurati delle citochine prodotte (TNF-A e IL-6), ovvero l’equivalente di LPS a livello 100 µg/ml.
I risultati mostrano che Bi.Bran MGN-3 ha un forte potenziale di attivazione dei macrofagi normali murini e umani. Dagli studi emerge che l’attività si manifesta a concentrazioni superiori a 10 µg/ml.

Macrofagi peritoneali murini (C3H/He)
Matsuura M. (Scuola di Medicina di Jichi, GIAPPONE): Rapporto della Scuola di Medicina di Jichi
(c) Immunostimolazione e prevenzione del cancro
Numerosi studi hanno dimostrato un rischio aumentato di cancro nelle persone esposte a diversi agenti chimici sul luogo di lavoro. L’obiettivo di uno di questi studi è stata l’analisi della modifica dell’immunità in relazione all’influenza degli agenti chimici tossici, nonché la possibilità dell’organismo di reagire meglio alla tossicità chimica con l’ausilio del preparato Bi.Bran MGN-3.
Allo studio hanno partecipato undici persone, normalmente esposte ad agenti chimici sul luogo di lavoro. I partecipanti soffrivano di una disfunzione ormonale che si manifestava con bassi livelli di attività di cellule NK (10,2±4,2 LU (unità litiche [ndt]) e scarsa risposta blastogena dei linfociti del sangue ai mitogeni delle cellule T (PHA, 39060±12517cpm e COMA, 36224±11922cpm) e ai mitogeni delle cellule B (PWM, 16550±6330cpm) rispetto alle reazioni riscontrate nel gruppo controllo. Ai partecipanti è sono stati somministrati 15 mg/kg di Bi.Bran MGN-3 per quattro mesi. La terapia col preparato ha aumentato l’attività delle cellule NK di 4 volte dopo 2 mesi e di ben 7 volte dopo 4 mesi. Inoltre, il funzionamento delle cellule T e B buniek è salito rispettivamente al 130% e al 150% dei valori originari.
Ghoneum M. (Università Ch. R. Drew, USA): Sintesi estrapolata dalla raccolta degli interventi alla conferenza tenutasi in occasione del 7° congresso internazionale sulle tecnologie biomediche contro l’invecchiamento, 1999
(d) Stimolo della produzione di TNF-α e IF-γ nei linfociti del sangue periferico umano mediata da arabinossilano modificato di crusca di riso contenuto nel preparato Bi.Bran MGN-3.
Oggetto di analisi è stato il meccanismo mediante il quale Bi.Bran MGN-3 aumenta l’attività citotossica delle cellule NK. È stata dunque testata l’azione del preparato Bi.Bran MGN-3 sull’intensità di secrezione del fattore di necrosi tumorale α, (TNF-α) e dell’interferone γ (IFN-γ), nonché l’azione – sempre del Bi.Bran MGN-3 – sull’espressione dei recettori fondamentali sulla superficie della cellula.
I linfociti del sangue periferico sono stati incubati insieme al Bi.Bran MGN-3 a concentrazioni di 0,1 e 1 mg/ml e le soluzioni sono state sottoposte a test ELISA. I risultati hanno dimostrato che il Bi.Bran MGN-3 è un potente induttore di TNF-α, con effetti che dipendevano dalle dosi. Concentrazioni di Bi.Bran MGN-3 a livello di 0,1 e 1 mg/ml hanno incrementato la produzione di TNF-α rispettivamente di 22,8 e 47,1 volte. Bi.Bran MGN-3 ha anche aumentato la produzione di IFN-γ, benche in misura minore rispetto al TNF-α. Per quanto riguarda i recettori superficiali cellulari chiave, Bi.Bran MGN-3 ha aumentato l’espressione dell’antigene di attivazione CD69 dopo 16 ore di incubazione. Inoltre, dopo l’incubazione con il preparato Bi.Bran MGN-3 è stata osservata una regolazione positiva del recettore dell’interleuchina-2, CD25 e molecola di adesione intercellulare ICAM-1 (CD54). Anche l’incubazione di cellule NK altamente purificate con MGN-3 ha avuto come risultato livelli aumentati di secrezione di TNF-α e IFN-γ in associazione ad un miglioramento della funzionalità citotossica delle cellule NK. Inoltre, l’aggiunta di Bi.Bran MGN-3 alle cellule NK attivate dall’interleuchina-2 ha avuto come conseguenza l’induzione sinergica della secrezione di TNF-α e IFN-γ.
Ghoneum M. (Università Ch. R. Drew, USA), Jewett A. (UCLA, USA): Cancer Detection and Prevention (Rilevamento e prevenzione del cancro) Fasc. 24/Num. 4, 2000
(e) Effetto dell’arabinossilano modificato di crusca di riso sull’attività delle cellule NK dei linfociti umani del sangue periferico.
Sono stati analizzati gli effetti del Bi.Bran MGN-3 e delle sue frazioni molecolari sull’attività delle cellule NK. Ai linfociti umani del sangue periferico sono state aggiunte frazioni con alto peso molecolare (10 – 50 kDa), ottenute da filtrazione del gel con utilizzo di Sephadex G-25 e G-75. Dopo un’incubazione di 3 giorni è stata stabilita l’attività delle cellule NK. Come cellule target sono state utilizzate delle cellule contrassegnate in modo fluorescente della linea K-562 e l’attività delle cellule NK è stata determinata mediante metodo Tere Scan. Un esperimento analogo è stato realizzato in presenza di IL-2.
Le prove non hanno rivelato differenze radicali nell’attivazione delle cellule NK né col preparato Bi.Bran MGN-3 con le sue frazioni con peso molecolare più alto. Quando però è stata aggiunta IL-2, nelle soluzioni dove c’era anche Bi.Bran MGN-3 o sue frazioni, è stata osservata un’attività aumentata delle cellule NK rispetto alla soluzione dove era presente la sola IL-2. Vale a dire che Bi.Bran MGN-3 attiva le cellule NK in presenza di IL-2 e che questa attività è presente anche con le sue frazioni di peso molecolare più alto.
Ueda Y., Shimomura C. (Università di Chiba, GIAPPONE): Rapporto dell’incontro annuale della Società Giapponese per la Bioscienza, Biotecnologia e Agrochimica 2002
3.2. Effetti antivirali
Effetto antivirale del preparato Bi.Bran MGN-3 anti-HIV in vitro
In primo luogo è stato valutato l’effetto antivirale del preparato Bi.Bran MGN-3 contro la produzione dell’antigene p24 dell’ HIV-1 in vitro. Alcune cellule mononucleate ottenute da tre individui sani sono state incubate insieme al ceppo HIV-1 SF alla temperatura di 37°C nel corso di un’ora in presenza del preparato Bi.Bran MGN-3 a concentrazioni comprese tra 0 e 100 µg/ml. A seconda della concentrazione, il preparato MGN-3 ha inibito la creazione di formazioni sinciziali, con il tasso massimo di tale inibizione pari al 75% ad una concentrazione di 100/ml) (Tabella 1).
| Inibizione delle formazioni sinciziali mediante il preparato Bi.Bran | ||
| Dose di Bi.Bran (μg/ml) | Formazioni sinciziali (SF) | |
| Numero di SF | % Inibizione | |
| 0 12.5 25 50 100 |
42.0±8 25.8±7 21.5±5 15.8±4 10.5±3 |
00.0 38.5 50.0 62.5 75.0 |
% di inibizione (antigene p24, pg/ml) > Concentrazione del preparato Bi.Bran MGN-3 (µg/ml)
Ghoneum M. (Università Ch. R. Drew, USA): Biochemical and Biophysical Research Communications (Comunicazioni tra ricerca biochimica e biofisica) 243, (1998)
3.3. Effetto antitumorale
(a) Studio sull’azione delle componenti di arabinossilano modificato della crusca di riso sull’inibizione della crescita di cellule tumorali di varie linee
Nell’ambito di questo studio è stato analizzato l’effetto inibitore dell’arabinossilano modificato della crusca di riso, contenuto nel preparato Bi.Bran MGN-3, sulla crescita di cellule tumorali di varie linee, come HL60, K562 e HLE, e sulla potenziale induzione della differenziazione in HL60 e K562. Bi.Bran MGN-3 è stato aggiunto ad una coltura con linee cellulari. Dopo 3 giorni di incubazione il tasso di sopravvivenza delle cellule (in tutte le linee cellulari) è andato scemando proporzionalmente alla quantità aggiunta di preparato Bi.Bran MGN-3.
Dopo precipitazione con etanolo, il precipitato è stato mescolato con acqua distillata. Il supernatante originatosi è stato poi frazionato mediante una colonna Sephadex G-25 in 3 frazioni (A, B, C); e queste sono state aggiunte alle colture con le linee cellulari. Sono stati osservati i seguenti effetti inibitori della crescita: per la frazione C sulle linee HL60 e K562; per le frazioni B e C, sulla linea HLE. Inoltre, la colorazione di Giemsa e con esterasi aspecifica hanno mostrato una potenziale induzione della differenziazione in HL60 e K562. Questi risultati suggeriscono che Bi.Bran MGN-3 contiene componenti che favoriscono l’inibizione della crescita delle cellule tumorali e la potenziale induzione della differenziazione delle linee HL60 e K562.
Masada M. (Università di Chiba., GIAPPONE): Rapporto dell’incontro annuale della Società Giapponese per la Bioscienza, Biotecnologia e Agrochimica 2002
(b) Influenza del preparato Bi.Bran MGN-3 sulla crescita delle cellule tumorali
Oggetto di studio è stato l’effetto diretto del preparato Bi.Bran MGN-3 sulla crescita delle cellule tumorali cutanee e sulla produzione di citochina. Rispetto al gruppo controllo di cellule di carcinoma squamoso della linea cellulare SCC13 (coltivata in MEM, con crescita del numero di cellule in continuo aumento), l’incubazione delle cellule di questa linea [SCC13] insieme al preparato Bi.Bran MGN-3 ha invece arrestato la crescita delle cellule tumorali (è stato osservato il 30% in meno di cellule dopo 48 ore, e il 50% in meno dopo 72 ore di coltivazione, rispetto alla coltivazione di controllo già citata).
Le analisi con citometria di flusso hanno mostrato che, dopo 16 ore di incubazione delle cellule SCC13 con il preparato Bi.Bran MGN-3, si è verificato un incremento di cinque volte dei livelli intracellulari di interleuchina 10 [IL-10], ma nessuna modifica manifesta quanto a contenuto di interferone-γ [INF-γ]. I test ELISA del mezzo di coltivazione con le cellule SCC13 hanno mostrato livelli di IL-10 di ben otto volte superiori e una crescita tripla dell’IL-12. È stata poi osservata una modifica solo di carattere esiguo nella concentrazione di INF-γ. Inoltre, è stata valutata l’influenza del preparato Bi.Bran MGN-3 anche su ulteriori linee cellulari (come cellule mammarie normali e tumorali e cellule tumorali della prostata).
I dati rilevati suggeriscono che Bi.Bran MGN-3 non solo migliora l’immunità dell’organismo ospitante, ma ha anche un’influenza diretta sulla crescita delle cellule tumorali e sulla produzione di citochine. Al tempo stesso, queste rilevazioni potrebbero svelare quel meccanismo finora ignoto che spiegherebbe i successi clinici e l’enorme apporto favorevole della terapia con Bi.Bran MGN-3, come osservato dall’autore nel corso degli ultimi 4 anni.
Ghoneum M. (Università Ch. R. Drew, USA): Sintesi estrapolata dalla raccolta degli interventi alla conferenza tenutasi in occasione dell’8° congresso internazionale sulle tecnologie biomediche contro l’invecchiamento, 2000
3.4. Effetto integrativo nella cura del cancro
(a) Valutazione della correlazione tra attività delle cellule NK e tasso di sopravvivenza nei pazienti con diversi tipi di cancro, con applicazione di protocolli terapeutici multi-immunologici
Lo studio in questione si è prefissato come obiettivo quello di stabilire gli eventuali effetti della somministrazione del preparato Bi.Bran MGN-3 sull’allungamento della vita e sul miglioramento della qualità della sopravvivenza, su un campione di 205 pazienti oncologici con cancro progressivo e parzialmente metastatizzante in stadio III – IV avanzato, dopo intervento chirurgico. Allo studio clinico hanno partecipato alcuni pazienti ricoverati presso la clinica chirurgica di Sano, in Giappone. I pazienti erano in cura con farmaci integrativi alternativi e medicinali anti-cancro convenzionali con deboli effetti collaterali.
I 205 pazienti ricoverati per 6 mesi sono stati suddivisi in due gruppi: 109 pazienti del gruppo di controllo sono stati sottoposti a trattamento con terapia alternativa integrativa standard clinica, mentre agli altri 96 è stato somministrato in aggiunta il preparato MGN-3 per un periodo di un anno e mezzo.
Ai fini del rilevamento della variazione dei parametri immunitari è stata misurata in tutti i pazienti l’attività delle cellule NK. Al tempo stesso, sempre in tutti i pazienti è stata verificata la qualità della loro sopravvivenza. Nei pazienti dopo intervento chirurgico l’attività delle cellule NK era prevalentemente bassa. Nei pazienti che assumevano Bi.Bran MGN-3 è stato osservato un tasso più alto di apotanasia (prolungamento della vita) – più alta era l’attività delle cellule NK osservata, maggiore era quest’effetto sui pazienti (Tabella 2). Tali rilevazioni hanno suggerito che il livello dell’attività delle cellule NK può essere considerato come un indicatore patologico nei tipi di cancro progressivi. Nel gruppo cui era stato somministrato anche Bi.Bran MGN-3 è stato osservato allo stesso tempo anche un miglioramento della qualità della vita.
Tabella 2: Rapporto tra tasso generale di sopravvivenza, attività delle cellule NK e tasso di sopravvivenza nei 2 gruppi esaminati
| Gruppo | Gruppo Bi.Bran | Gruppo controllo |
| Tasso generale di sopravvivenza | 52/96 (54.2%) | 19/63 (33.9%) |
| Categorie in base all’attività delle cellule NK Inferiore al 19.9% 20%-40% Superiore al 40% |
17/40 (42.5%)** 18/35 (51.4%)* 17/21 (81.0%) |
2/16 (12.5%) 7/25 (28.0%) 10/15 (66.7%) |
% di significatività rispetto al gruppo controllo **p<0,01 *p<0,05
Takahara K. (Clinica chirurgica di Sano, GIAPPONE): Sintesi estrapolata dalla riunione tenutasi in occasione del 3° incontro annuale della Società giapponese per la medicina e terapia integrativa e alternativa, 2000
(b) Effetti immunomodulatori e anti-cancro del preparato Bi.Bran MGN-3 in 5 pazienti con cancro della mammella
A cinque pazienti con cancro della mammella è stato somministrato il preparato MGN-3 alla dose di 3 g/giorno; successivamente, mediante il test di separazione 51Cr è stata misurata l’attività delle cellule NK sulle cellule tumorali bersaglio della linea K562. I risultati hanno mostrato quanto segue:
- A bassi livelli di attività delle cellule NK base (12,7 – 58,3%) e con rapporti effector : target pari a 12 e 100 : 1, nella terapia con Bi.Bran MGN-3 l’attività delle cellule NK nelle pazienti ha fatto registrare notevoli aumenti (41,8 – 89,5%) – e i rapporti effector : target sono rimasti invariati.
- L’aumento dell’attività delle cellule NK è stato osservato già dopo 1-2 settimane dall’inizio della terapia; man mano che si proseguiva con la somministrazione del preparato Bi.Bran MGN-3 i livelli andavano aumentando.
- Due pazienti, che hanno partecipato allo studio fin dall’inizio (6-8 mesi di terapia) sono giunte a completa remissione.
Ghoneum M. (Università Ch. R. Drew, USA): Raccolta degli inverventi della Conferenza straordinaria dell’Associazione americana per la ricerca sul cancro, 1995
(c) Effetto immunomodulatore dell’arabinossilano modificato della crusca di riso contenuto nel preparato Bi.Bran MGN-3 sulle cellule NK in un gruppo di 27 pazienti oncologici
Oggetto di studio è stato l’effetto immunomodulatore del preparato Bi.Bran MGN-3 su 27 pazienti oncologici. I pazienti soffrivano di vari tipi di malignità avanzate: 7 casi di carcinoma mammario, 7 prostatici, 8 mielomi multipli, 3 leucemie e 2 carcinomi del collo dell’utero. Tutti i pazienti sono stati sottoposti a terapia convenzionale, integrata con MGN-3 alla dose di 3 g/giorno; successivamente è stata valutata l’attività delle cellule NK dopo 2 settimane, 3 mesi e 6 mesi. L’attività delle cellule NK è stata valutata con test di separazione 51Cr. Come cellule bersaglio sono state utilizzate delle cellule tumorali della linea K562, con rapporti effector : target da 12:1 fino a 100:1. I risultati hanno mostrato quanto segue:
- Livelli bassi di attività di cellule NK basilare nei pazienti.
- La terapia con Bi.Bran MGN-3 ha dato adito ad un notevole aumento dell’attività delle cellule NK già dopo 2 settimane. L’induzione dell’attività, nei singoli tipi di cancro, è stata la seguente (in termini percentuali): carcinoma mammario 154-332%, carcinoma prostatico 174-385%, leucemia 100-240%, mieloma multiplo 100-537% e carcinoma del collo dell’utero 100-275%.
- L’attività delle cellule NK è stata continuamente in aumento anche dopo 3 e 6 mesi di terapia.
Ghoneum M. (Università Ch. R. Drew, USA): Sintesi dell’intervento all’87° incontro annuale dell’Associazione americana per la ricerca sul cancro, 1996
(d) Caso di terapia integrativa di cancro metastatizzante dei polmoni mediante somministrazione del preparato Bi.Bran MGN-3
Questo rapporto presenta un caso in cui sono stati raggiunti risultati positivi in conseguenza dell’applicazione di terapia integrativa con il preparato Bi.Bran MGN-3 in un paziente con cancro dei polmoni metastatizzante con invasione di ampie zone ossee.
Il paziente era un maschio di 67 anni. Nell’agosto 1996 si è recato dal medico in seguito ad un drastico calo ponderale e forte tosse con espettorato. Gli è stato diagnosticato un cancro polmonare (carcinoma squamoso) complicato da tubercolosi (M. tuberculosis). Dopo terapia antibiotica preliminare della tubercolosi, nel mese di ottobre è stata iniziata la radioterapia contro il cancro. Nel dicembre dello stesso anno è stata chirurgicamente rimossa la metà inferiore del polmone destro affetta da tumore. Dopo la radioterapia, nel gennaio 1997, il paziente è stato dimesso dalle cure ospedaliere.
Nel giugno dello stesso anno il paziente è tornato dal medico lamentando dolore alla parte destra del torace. La scintigrafia ossea ha confermato numerose metastasi alle ossa. Il tumore si allargava soprattutto alle costole a destra, ma era diffuso nel tessuto osseo praticamente in tutto il corpo. Nel mese di luglio è stata iniziata la terapia analgesica con morfina. Nel frattempo, alla fine di maggio, era stata avviata anche la somministrazione di Bi.Bran MGN-3 a dosi di 3 al giorno. Dal gennaio 1998 i dolori si sono andati affievolendo. Il Bi.Bran MGN-3 continuava ad essere sistematicamente somministrato, mentre la morfina veniva gradualmente ridotta fino alla sua eliminazione nel mese di giugno. Al momento della conferma del ritorno della patologia, il marker tumorale ICPP era pari a 16,8 ng/ml, ma si è gradualmente ridotto a 7,6 ng/ml nel dicembre 1997 e a 6,7 ng/ml nel giugno 1998. La scintigrafia ossea mostrava ora un netto miglioramento, con conferma che la diffusione del tumore alle ossa era in regressione. Al momento del ritorno della patologia l’attività delle cellule NK era pari al 9,0%, ma è andata poi gradualmente incrementandosi e tuttora si mantiene ad alti livelli.
Sobajima T. (Ospedale di Hoshigaoka Kosei Nenkin, GIAPPONE): Sintesi dell’intervento al secondo incontro annuale della Società giapponese per la medicina e terapia integrativa e alternativa, 1999
(e) Applicazione del preparato Bi.Bran MGN-3 nella terapia post-convenzionale
Per quanto riguarda l’approccio alla cura del cancro in Giappone, la terapia del tumore “dormiente” sta diventando sempre di più un concetto terapeutico. L’obiettivo principale di tale cura è prolungare la vita del paziente e al tempo stesso mantenere una sua alta qualità. Il Dr. Tunekawa la prescrive ai pazienti su loro richiesta, poiché ritiene che il miglioramento della qualità della vita sia una finalità terapeutica importante. Nel suo rapporto riporta di avere trentaquattro pazienti oncologici cui somministra una combinazione di chemioterapia (per sopprimere tumori dormienti) e terapie integrative e alternative. In tre casi specifici descrive anche la concreta procedura terapeutica:
- Pazienti (patologie principali): cancro dello stomaco in 3 casi, carcinoma polmonare in 3 casi, linfoma maligno in 2 casi, carcinoma colorettale (parte rettale) in 6, carcinoma mammario in 3 casi e altri tipi di cancro in 17 casi
- Periodo di terapia: 6-18 mesi
- Studi di caso
- T.S. (60), sesso femminile, cancro dello stomaco (IV stadio), infiammazione carcinomatosa del peritoneo: nel gennaio 2000 è stato chirurgicamente asportato un tumore scirroso dello stomaco. Nel febbraio 2000 si è sviluppata un’infiammazione carcinomatosa del peritoneo e la paziente (al IV stadio) è stata sottoposta a gastrectomia. Il CA19-9 era pari a 108. Nell’agosto 2000 ha visitato la nostra clinica lamentando dolori all’addome, costipazione, anemia e anoressia. Il CA19-9 era pari a 390 e l’attività delle cellule NK 25,6. Le è stata prescritta una combinazione di chemioterapia (TS1) e terapia olistica. Per migliorare l’immunità le è stato prescritto il preparato Bi.Bran MGN-3 a dosi da 3 g al giorno. Un mese dopo i valori di CA19-9 erano pari a 63. I valori dei marker tumorali si sono andati gradualmente riducendo e l’attività delle cellule NK invece aumentava. Nell’agosto 2001, ovvero 11 mesi dopo, il valore di CA19-9 era pari a 25 e l’attività delle cellule NK a 51,5. Attualmente la paziente non avverte più alcun sintomo soggettivo ed è ben nutrita.
- F.A. (46), sesso femminile, carcinoma mammario, con metastasi a vertebra lombare e utero: nel luglio 1998 la paziente è stata sottoposta ad operazione per carcinoma mammario ed è stata instaurata terapia ormonale anticancro. Nel marzo 2001 sono state riscontrate metastasi alla vertebra lombare e nel mese di aprile anche all’utero. Nel maggio 2001 è stata sottoposta ad isterectomia. È stata poi dimessa con somministrazione di Taxol e Paraplatin. Nel luglio 2001 si è recata dal Dr. Tunekawa lamentando dolori alle ossa. In quel momento il livello di CA era = 153, NCC-ST = 439 e attività delle cellule NK = 9,3. La cura è stata modificata conservando il Paraplatin e aggiungendo terapia olistica. Per migliorare l’immunità è stato aggiunto anche il preparato Bi.Bran MGN-3 a dosi da 3 g al giorno. Due mesi dopo i marker CA erano = 18, NCC-ST = 28,9 e attività delle cellule NK = 22,0, con inoltre diminuzione del dolore. Successivamente nella paziente è stata osservata una riduzione stabile dei livelli di marker tumorali, con aumento dell’attività delle cellule NK. Nel luglio 2002 i livelli di CA erano = 14, NCC-ST = 3,2 e attività delle cellule NK = 59. Il dolore era completamente scomparso e le rilevazioni alla scintigrafia ossea erano meno manifeste. Attualmente la paziente è ben nutrita ed è tornata felicemente a suonare la batteria.
Tunekawa H. (Società di Tokai per la promozione della medicina olistica, GIAPPONE): Sintesi del workshop sul preparato Bi.Bran, Berlino, 2002
(f) Valutazione dell’azione del preparato Bi.Bran MGN-3 nella cura del cancro in stadio progressivo
Il Dr. Mizukami ha descritto la propria esperienza di somministrazione del preparato Bi.Bran MGN-3 ad un gruppo campione di 97 pazienti oncologici affetti da diversi tipi di tumore in stadio progressivo (cancro dello stomaco, colon-retto, mammella, polmoni, pancreas, fegato, cistifellea, faringe, ovaio, collo dell’utero, reni, tiroide, prostata, cavità orale, mieloma multiplo, ecc). I paziente erano già stati sottoposti ad interventi chirurgici, chemioterapia o radioterapia in grandi ospedali, ma le prognosi non erano incoraggianti. Presentavano metastasi e recidive. Hanno pertanto deciso di recarsi presso la clinica del Dr. Mizukami e tentare con l’immuno-terapia. Quasi tutti i pazienti cui era stato prescritto il Bi.Bran MGN-3 in quel periodo aveva già terminato la chemioterapia o radioterapia. Sulla base delle osservazioni cliniche e dei questionari è stata poi analizzata dettagliatamente la qualità della sopravvivenza. In tutti i pazienti che assumevano il Bi.Bran MGN-3 è stato osservato un fenomeno comune.
In alcuni casi, con il preparato Bi.Bran MGN-3 la qualità della sopravvivenza ha subito miglioramenti significativi. Nonostante il fatto che nei pazienti con cancro in stadio avanzato la qualità della sopravvivenza tenda col tempo a peggiorare, nei pazienti che assumevano Bi.Bran MGN-3 la tendenza era ben più moderata e addirittura è stata osservata una sopravvivenza ben più prolungata, con buona qualità della vita, compresi casi di sopravvivenza a lungo termine.
Per quanto riguarda la qualità della sopravvivenza si riportano le seguenti osservazioni:
- Non è affatto semplice tenere sotto controllo dolori atroci. Nei pazienti con cancro in stadio avanzato non v’è altra possibile soluzione se non la morfina. Eppure alcuni pazienti in cura con Bi.Bran MGN-3 non hanno avuto bisogno della morfina, mentre in alcuni altri (sempre facenti uso di Bi.Bran MGN-3) è stata registrata una tendenza alla riduzione delle dosi di morfina.
- In generale è stata osservata una tendenza minore in termini di sensazioni di debolezza.
- È stata osservata una tendenza minore in termini di perdita di appetito.
- Tendenza alla capacità di rimanere a casa e sentirsi relativamente bene prima della morte.
- Tendenza a conservare una mente chiara prima della morte e comunicare con i familiari.
Il Dr. Mizukami ha riepilogato le proprie osservazioni constatando un dato di fatto fondamentale, ovvero che nei pazienti con cancro in stato avanzato, con l’impiego del preparato Bi.Bran MGN-3, la qualità della sopravvivenza non subisce peggioramenti rapidi ed improvvisi. Questa constatazione appare per il futuro come un aspetto importante anche per l’approccio medico generale al trattamento del cancro.
Mizukami O. (Istituto di ricerca per la promozione della salute e Fondazione Layman New Life, GIAPPONE): Sintesi del workshop sul preparato Bi.Bran, Berlino, 2002
3.5. Effetto sull’apoptosi
Bi.Bran MGN-3 sensibilizza le cellule T leucemiche umane all’apoptosi indotta dal recettore di morte (CD95)
Oggetto di studio è stato l’effetto del preparato Bi.Bran MGN-3 sull’apoptosi indotta dal recettore di morte nelle cellule leucemiche umane della linea HUT 78. Le cellule HUT 78 sono state dapprima trattate con Bi.Bran MGN-3 e successivamente incubate con anticorpo del recettore di morte (Fas, CD95). Il tasso di apoptosi è stato stabilito con citometria di flusso FACScan con colorazione con ioduro di propidio. L’attivazione della caspasi 3, caspasi 8 e caspasi 9 è stata stabilita con citometria di flusso. Il potenziale di membrana mitocondriale è stato misurato mediante FACScan con colorazione DIOC6. L’espressione di CD95 e BCI-2 è stata misurata con citometria di flusso.
In base alle rilevazioni, Bi.Bran MGN-3 (a seconda del dosaggio) aumenta il taso di apoptosi indotta da anti-CD95. Il tasso aumentato della morte cellulare è risultato correlato all’aumento della depolarizzazione del potenziale di membrana mitocondriale e ad un’attivazione aumentata della caspasi 3, caspasi 8 e caspasi 9. Il trattamento con Bi.Bran MGN-3 non ha influito sull’espressione di CD95, ma ha causato una sottoregolazione dell’espressione di BCI-2. I risultati suggeriscono che Bi.Bran MGN-3 incrementa la sensibilità del cancro all’apoptosi mediata da leganti di morte cellulare. Si tratta di un’osservazione potenzialmente di fondamentale importanza nell’ambito della lotta contro il cancro.
Ghoneum M. (Università Ch. R. Drew, USA): Cancer Letters (Lettere oncologiche), 2003
3.6. Attivazione della difesa vitale
(a) Azione attiva del preparato Bi.Bran MGN-3 nell’eliminazione dei radicali ossigeno
Il rapporto verte su un’esperienza di ricerca finalizzata all’azione di eliminazione dei radicali ossigeno da parte del preparato Bi.Bran MGN-3 e sue frazioni. Il Bi.Bran MGN-3 è stato frazionato mediante colonna Sephadex G-25. In base alle dimensioni le singole frazioni sono state contrassegnate come L, M e S (L peso molecolare > 10000), M (peso molecolare da 10000 a 3000) e S (peso molecolare < 3,000).
L’azione di eliminazione degli enzimi attivi è stata valutata misurando l’azione di eliminazione a danno di: anione superossido – radicale (•O2), radicale ossidrile originato da reattivo di Fent (•OH) e radicale ossidrile generato da raggi ultravioletti.
I risultati delle misurazioni sono raffigurati nella tabella riportata qui di seguito. Per quanto concerne la formazione di radicale idrossile •OH generato da •O2 e raggi ultravioletti, i migliori risultati in termini di inibizione sono stati ottenuti dalla frazione del preparato Bi.Bran contrassegnata come S (con il peso molecolare più basso). Per quanto concerne invece l’eliminazione dell’idrossile (•OH) generato da reattivo di Fent, tutte le frazioni del preparato hanno mostrato un alto tasso di efficacia. (Tabella 3)
Tabella 3
Azione di eliminazione del preparato Bi.Bran MGN-3 a danno dei radicali ossigeno attivi (•O2 e •OH e •OH indotti da raggi ultravioletti)
| Tipo di ossigeno attivo e azione SOD | Tasso di eliminazione dell’anione superossido – radicale (%) | Azione SOD (superossidismutasi) (U/ml) | Tasso di eliminazione del radicale idrossile indotto da raggi UV (%) | ||||||
| 20 | 2.0 (mg/ml) |
0.2 | 20 | 2.0 (mg/ml) |
0.2 | 20 | 2.0 (mg/ml) |
0.2 | |
| BioB BioB-L BioB-M BioB-S |
64.6 39.9 49.5 90.4 |
23.0 10.4 15.6 68.1 |
4.4 0 0 26.4 |
7.6 5.0 7.2 70.5 |
0.9 0.8 1.4 15.7 |
0 0 0 2.6 |
94.9 (72.6) 97.2 (41.8) 97.0 (45.4) 96.5 (71.0 |
78.9 (35.9) 34.4 (16.5) 68.4 (9.9) 55.1 (54.9) |
3.3 (11.5) 3.3 (1.0) 8.7 (3.9) 4.2 (19.6) |
·O2: reazione HPX-XOD,·OH: reattivo di Fent
·OH generato da reazione UV: 365nm,4×103J/m2/min×5
Tazawa K. (Università di Medicina e Farmacia di Toyama, GIAPPONE): Biotherapy (Bioterapia) Vol.14, 2000
(b) Studio basilare dell’influenza del composto di arabinossilano (Bi.Bran MGN-3) sull’attivazione delle difese vitali.
Mediante sperimentazione su animali, questo studio si è incentrato sull’osservazione dell’influenza del preparato Bi.Bran MGN-3 e della sua azione biofilattica, nonché sul tasso di sopravvivenza dopo induzione di sepsi letale con lipopolisaccaride (LPS).
Per questo esperimento sono stati utilizzati dei topi BALB/c (maschi di età 5-7 settimane). Un giorno su due, su un periodo di due settimane (ovvero sette volte in tutto), mediante sonda orale sono state somministrate ai topi dosi da 20 mg/kg e 200 mg/kg di preparato Bi.Bran MGN-3 disciolto in tampone fosfato salino (PBS) di volume 0,5 ml. Quanto ai topi del gruppo controllo, sono stati somministrati 0,5 ml di PBS ad eguali intervalli. Dodici ore dopo l’ultima dose orale, in ciascun esemplare murino sono stati iniettati intraperitonealmente 200 µg di LPS, con successivo monitoraggio delle condizioni degli stessi esemplari. In un secondo esperimento, nei topi di entrambi i gruppi (gruppo Bi.Bran e controllo) sono stati iniettati intraperitonealmente 100 µg di LPS; i topi sono stati successivamente soppressi ad intervalli di 0, 2, 4 e 8 dopo somministrazione di LPS ed è stato prelevato del sangue periferico del loro cuore. Dopo la separazione del siero sono stati misurati i valori di IL-6 e TNF. L’attività di IL-6 è stata misurata mediante impiego di cellule della linea B9, mentre per l’attività TNF si è ricorso ad esame biologico sulle cellule della linea WEHI164-13.
Come risulta chiaro dalla fig. 9, dopo somministrazione di 200 µg LPS il tasso di sopravvivenza (rispetto al gruppo controllo) si è rivelato sostanzialmente migliore nei gruppi in cui gli esemplari assumevano ogni giorno 20 mg/kg e 200 mg/kg di preparato Bi.Bran MGN-3 (gruppo Bi.Bran MGN-3 20 mg/kg vs. gruppo controllo, p = 0,0456; gruppo Bi.Bran MGN-3 200 mg/kg vs. gruppo controllo, p = 0,0232, analisi con test Mantel-Cox). Nel caso della somministrazione di 100 µg di LPS/esemplare nei gruppi in cui precedentemente era stato somministrato Bi.Bran MGN-3 a dosi da 20 mg/kg e 200 mg/kg, tutti i topi sono sopravvissuti; mentre nel gruppo controllo sono morti 3 esemplari su 10.
Nel tentativo di svelare il meccanismo responsabile del miglioramento del tasso di sopravvivenza nel gruppo Bi.Bran MGN-3 sono state misurate le concentrazioni di IL-6 e TNF nel sangue. Nel gruppo in cui era stato somministrato Bi.Bran MGN-3 la concentrazione ematica di IL-6 (dopo due ore dalla somministrazione di LPS) risultava significativamente più bassa rispetto al gruppo controllo (gruppo controllo 702,9 ± 24,7 ng/ml, gruppo Bi.Bran MGN-3 403,1 ± 59,6 ng/ml; p < 0.01); tuttavia, dopo 8 ore dalla somministrazione, veniva ad essere notevolmente aumentata (gruppo controllo 88,5 ± 50,0 ng/ml, gruppo Bi.Bran MGN-3 441,0 ± 115,0 ng/ml; p < 0.05). Quattro ore dopo la somministrazione di LPS nel gruppo Bi.Bran MGN-3 la concentrazione ematica di TNF ha fatto registrare aumenti notevoli rispetto al gruppo controllo (gruppo controllo 492 ± 187, gruppo Bi.Bran MGN-3 1816 ± 307 pg/ml; p < 0.01).
Nell’ambito del modello sperimentale della sepsi letale indotta da LPS si prevedeva che la gran quantità di citochine infiammatorie (IL-1, 6, TNF-α) rilasciate dalle cellule del sistema reticoloendoteliale in tutto l’organismo sarebbe stata la causa del deficit di svariati organi – e dunque del decesso. Tuttavia, in questo studio, nel gruppo sottoposto a somministrazione del preparato MGN-3 è stato osservato un notevole aumento del tasso di sopravvivenza. Come possibili cause possiamo pensare al fatto che l’assunzione del preparato Bi.Bran MGN-3 inibisce la formazione di citochine istotossiche prodotte dai macrofagi oppure che il Bi.Bran MGN-3 blocca la strada all’istotossicità a livello di cellule bersaglio.
Sudo N., Kubo C. (Università di Kyushu, GIAPPONE): The Japanese Journal of Clinical and Experimental Medicine (Rivista giapponese per la medicina clinica e sperimentale), Vol. 78, 1, 2001
(c) Riduzione del calo ponderale nei topi dopo somministrazione di cisplatino grazie al preparato Bi.Bran MGN-3.
Nel trattamento del cancro, i medicinali contenenti platino causano spesso effetti collaterali importanti, come nausea, vomito, nefropatie e ipomagnesemia, con danni ai tubuli renali (Lajer & Dangaard 1999); si osservano inoltre anche deficit dell’udito, nefropatie periferiche e mielosoppressione, uno degli effetti collaterali più devastanti (Prestayko et al. 1979) che porta all’indebolimento delle difese immunitarie. Per questo motivo, qualsiasi limitazione degli effetti collaterali del cisplatino è sempre preziosa e ben gradita. Ci siamo dunque incentrati sull’analisi dell’influenza del preparato Bi.Bran MGN-3 sulla riduzione del calo ponderale in topi sottoposti a dosi massime tollerabili di cisplatino.
Una settimana prima della somministrazione del cisplatino abbiamo iniziato la somministrazione anche di Bi.Bran MGN-3 in due gruppi di topi, a dosi di 10 mg/ml (di materia asciutta) in acqua, oppure con iniezione intraperitoneale di volume 0,1 ml, dove la dose equivalente del preparato è stata disciolta in una soluzione fisiologica di fosfato (PBS). La dose da 1 mg per esemplare è stata dedotta dalla dose consigliata per l’essere umano (50 mg/kg). La dose da 15 mg/kg è stata somministrata intraperitonealmente in 0,1 ml di tampone fosfato salino (PBS) con contenuto pari allo 0,5% di acido DMSO come vettore. Due gruppi di topi hanno ricevuto acqua mediante una sonda oppure PBS intraperitonealmente. Dopo una settimana, è stato dato inizio alla somministrazione di cisplatino in entrambi i gruppi.
Il calo ponderale è insorto già dal primo giorno successivo all’iniezione intraperitoneale di cisplatino in entrambi i gruppi (sia quello che assumeva Bi.Bran MGN-3 sia quello senza). Sempre in entrambi i gruppi, il calo ponderale massimo è stato osservato il 5° giorno dopo somministrazione di cisplatino – anche qui il dato è stato registrato in entrambi i gruppi (sia quello che assumeva Bi.Bran MGN-3 sia quello senza) e sia con somministrazione orale sia intraperitoneale. Il calo ponderale più importante è stato osservato nei topi soggetti a cisplatino senza preparato Bi.Bran MGN-3. Se da un lato è vero che la perdita di peso nei topi con Bi.Bran MGN-3 si avvicinava al 20% di quanto osservato nei topi del gruppo cisplatino senza Bi.Bran MGN-3, dall’altro lato bisogna constatare che in quest’ultimo gruppo nessun topo è morto, né ha presentato diarrea o sangue fecale – ovvero effetti collaterali che di norma accompagnano la sommistrazione del cisplatino. Durante la fase di convalescenza, i topi del gruppo Bi.Bran MGN-3 hanno fatto registrare una riassunzione di peso ben più rapida che nel gruppo senza Bi.Bran MGN-3.

Legenda: profilo ponderale dei topi (v%)
Fig. 11
Endo Y., Kanbayashi H. (Università McMaster, CANADA): Pharmacology and Toxicology (Farmacologia e tossicologia), 2003
(d) Influenza del preparato Bi.Bran MGN-3 sul cisplatino e sulla tossicità indotta da adriamicina nei ratti
Bi.Bran MGN-3 è un derivato della crusca di riso, prodotto mediante idrolisi parziale in acqua di frazioni solubili di fibra di riso tramite carboidrasi ricavata dal fungo lentinus edodes [n. brevetto USA 5560914]. È stato dimostrato che il Bi.Bran MGN-3 è un modificatore della risposta biologica in grado di favorire l’aumento dell’attività delle cellule NK nei pazienti con deficit immunitari [Int. J. Immunother. 14 (1) 1998].
Obiettivo: mediante somministrazione giornaliera del preparato Bi.Bran MGN-3 a dosi di 5 e 50 mg/kg, evitare modifiche patologiche gravi e cali ponderali connessi alla somministrazione di una dose unica di cisplatino (CIS) o adriamicina (ADR). Dopo 13 giorni di ambientamento, secondo il criterio selettivo del peso corporeo sono stati scelti per il test alcuni individui maschi di ratto Spaque-Dawley, suddivisi successivamente in otto gruppi da 10 membri (dosi riportate in mg/ml):
- Bi.Bran 5 mg p.o. + vettore i.p.
- Bi.Bran 50 mg p.o. + vettore i.p.
- Bi.Bran controllo p.o. + CIS 8 mg i.p.
- Bi.Bran 5 mg p.o. + CIS 8 mg i.p.
- Bi.Bran 50 mg p.o. + CIS 8 mg i.p.
- Bi.Bran controllo p.o. + ADR 10 mg i.p.
- Bi.Bran 5 mg p.o. + ADR 10 mg i.p.
- Bi.Bran 50 mg p.o. + ADR 10 mg i.p.
Per 11 giorni i ratti sono stati sottoposti a somministrazione per via orale (p.o.) di preparato MGN-3 disciolto in acqua distillata oppure vettore. Il farmaco chemoterapeutico o il vettore sono stati somministrati nel 3° giorno a ciascuno degli individui testati attraverso iniezione intraperitoneale (i.p.) unica. Durante queti 11 giorni sono stati quotidianamente monitorati i sintomi clinici dei ratti. Il peso corporeo è stato registrato un giorno sì e uno no. All’11° giorno i ratti sono stati soppressi con inalazione di CO2 ed è stata eseguita l’autopsia. È stato effettuato un controllo visivo degli organi principali e sono stati verbalizzati i danni all’apparato gastro-intestinale.
Risultati: Tra il 7° e l’11° giorno sono morti cinque ratti del gruppo 3, tre ratti del gruppo 5 e un ratto del gruppo 4. I ratti cui era stato somministrato esclusivamente Bi.Bran MGN-3 a dosi di 5 o 50 mg/kg p.o. hanno fatto registrare un aumento di peso statisticamente significativo (+72%). I ratti cui era stato somministrato esclusivamente CIS o ADR hanno fatto registrare un aumento di peso esiguo (-1,5% per CIS e +30% per ADR). I ratti cui era stato somministrato Bi.Bran MGN-3 a dosi di 5 o 50 mg + CIS o ADR hanno fatto registrare un aumento di peso ben più importante rispetto ai ratti del gruppo puramente chemioterapico (+11% nel gruppo Bi.Bran MGN-3 5 mg + CIS e +46% nel gruppo + ADR). Nel gruppo Bi.Bran MGN-3 50 mg + CIS l’aumento ponderale è stato +44% e nel gruppo Bi.Bran MGN-3 50 mg + ADR +43%. I ratti sopravvissuti cui era stato somministrato Bi.Bran MGN-3, rispetto a quelli che avevano ricevuto solo CIS o ADR senza preparato Bi.Bran MGN-3, avevano un aspetto più sano, avevano preso peso e mostravano minore frequenza di patologie intestinali gravi.
Tabella 4: Effetto del preparato Bi.Bran sulla riduzione del calo ponderale indotto da cisplatino e doxorubicina
| Terapia (tutto intraperitoneale) | Giorno 0 | Giorno 3 | Giorno 5 | Giorno 7 | Giorno 9 | Giorno 11 |
| 5mg/kg p.o. + vettore 50mg/kg p.o. + vettore Gruppo controllo p.o.+ Cp8mg/kg 5mg/kg p.o. + Cp8mg/kg 50mg/kg p.o. + Cp8mg/kg Gruppo controllo p.o. + Dx10mg/kg 5mgn/kg p.o. + Dx10mg/kg 50mg/kg p.o. + Dx10mg/kg |
100 100 103 99 101 103 101 101 |
100 98 101 99 99 100 100 101 |
100 100 82 85 92 88 92 92 |
100 97 69 76 90 82 89 87 |
100 97 55 68 85 77 86 85 |
100 97 57 65 84 76 85 83 |
p.o.- per via orale, Dx-doxorubicina, Cp-cisplatino
Jacoby H. I. (USA): Journal of Nuturaceuticals, Function & Medical Foods (Časopis pre naturaceutíka a funkčné a zdravotné potraviny), Vol.3 (4) 2001
(e) Effetto del preparato Bi.Bran MGN-3 sulla tossicità indotta da radioterapia nei topi
L’obiettivo di questo studio è stato quello di analizzare l’effetto modificatore del preparato Bi.Bran MGN-3 sulla radiosensibilità che si manifesta con riduzione del midollo osseo in conseguenza di irradiazione totale dell’organismo. Nell’intento di contemplare un’eventuale applicabilità clinica, gli autori hanno testato gli effetti a livello quantitativo nell’arco dell’intero spettro delle dosi radioterapiche (da 4,5 a 8,5 Gy).
Per l’esperimento sono stati impiegati esemplari maschi di topo dell’età di 4 o 5 settimane, di tipo SPF BALB/c (gruppo F2). Nei gruppi selezionati è stato aggiunto all’alimentazione degli animali anche il preparato MGN-3 a dosi di 50 mg/kg di massa corporea. I gruppi erano formati da 10 – 50 individui. Dopo due giorni di ambientamento è stato aggiunto Bi.Bran MGN-3 alla dieta dei topi del gruppo test (F2). Dopo 8 e 15 giorni di somministrazione del preparato Bi.Bran MGN-3 i topi sono stati esposti ad irradiazione. Successivamente il loro peso corporeo è stato controllato 3 volte a settimana ed ogni giorno veniva monitorato il tasso di decesso. In alcuni casi, nell’ambito dell’esperimento, il Bi.Bran MGN-3 è stato somministrato ai topi per due settimane intere prima dell’irradiazione; in altri casi la sua somministrazione è stata iniziata solo dopo l’irradiazione.
Nel gruppo F2 i decessi dei topi sono stati osservati già a partire dal settimo giorno dopo irradiazione, in conseguenza della riduzione di midollo osseo. I topi dei gruppi Bi.Bran MGN-3 tendevano invece a morire per le radiazioni diverso tempo dopo. La dose LD50 (che ha causato la morte di almeno metà degli animali colpiti) era pari a ca. 5,15 Gy e il fattore di riduzione di dose (DRF) si assestava ad un livello di ca. 1,14. Per quanto riguarda il peso corporeo, nei gruppi Bi.Bran MGN-3 è stata osservata una tendenza al mantenimento di un peso più alto. Gli effetti osservati con inizio precoce della somministrazione del preparato Bi.Bran MGN-3 suggeriscono che è più opportuno iniziare ad assumere il preparato prima ancora della radioterapia.
La dose di irradiazione dei topi al centro dell’organismo è stata calcolata come un multiplo di 1,21 volte rispetto alle dosi sopra riportate; vale a dire che la dose LD50 per gli esemplari del gruppo controllo era pari a 6,23 Gy. Sebbene l’effetto radioprotettivo (DRF) del Bi.Bran (pari a 1,14) non si sia rivelato altissimo, bisogna aggiungere che nell’ambito dell’intero studio non è stato osservato neppure un effetto collaterale.
Nakatugawa S. (Università di Nagoya, GIAPPONE): The Report of Nagoya Univ. (Rapporto dell’Univ. di Nagoya), 2003
(f) Effetto del preparato Bi.Bran MGN-3 sulla disfunzione epatica sperimentalmente indotta nei ratti
Nell’ambito di questo studio è stato analizzato l’effetto del preparato Bi.Bran MGN-3 sulla disfunzione epatica. In modo particolare è stato studiato l’effetto del preparato sullo sviluppo di disfunzioni epatiche sperimentalmente indotte in conseguenza di somministrazione di galattosammina (GaIN) e acetaminofene (AAP). La GaIN è stata somministrata negli esperimenti da 1 a 3, mentre l’AAP negli esperimenti 4 e 5.
Nell’esperimento n. 1 il preparato MGN-3 è stato somministrato ai ratti per via intraperitoneale a diverse concentrazioni; dopo 1 ora è stata introdotta nel corpo la GaIN a dosi di 800 mg/kg.
Nell’esperimento n. 2 Bi.Bran MGN-3 è stato somministrato per via orale, mentre per via intraperitoneale sono state introdotte solo le sue frazioni con peso molecolare basso o alto. Dopo 1 ora è stata introdotta nell’organismo dei ratti anche la GaIN a dosi di 800 mg/kg.
Nell’esperimento n. 3 Bi.Bran MGN-3 è stato somministrato per via intraperitoneale dopo essere stato previamente scaldato, idrolizzato e filtrato con resina a scambio ionico. Dopo 1 ora è stata introdotta nei ratti anche la GaIN a dosi di 800 mg/kg.
Nell’esperimento n. 4 Bi.Bran MGN-3 è stato somministrato per via sia intraperitoneale sia orale. Dopo 1 ora è stato introdotto nell’organismo dei ratti anche l’AAP a dosi di 700 mg/kg.
Nell’esperimento n. 5 Bi.Bran MGN-3 è stato somministrato per via intraperitoneale dopo essere stato previamente scaldato, idrolizzato e filtrato con resina a scambio ionico. Dopo 1 ora è stato introdotto nei ratti anche l’AAP a dosi di 500 mg/kg.
In tutti gli esperimenti i ratti sono stati soppressi dopo 24 ore dalla somministrazione di GaIN o AAP e sono stati stabiliti i valori di transaminasi sierica (GOT, GPT).
Risultati
Esperimento 1: In tutti i gruppi cui era stato somministrato Bi.Bran MGN-3 l’attività della transaminasi sierica (GOT e GPT) scatenata dalla disfunzione epatica indotta da GaIN appariva significamente repressa, rispetto all’attività osservata nel gruppo controllo. L’effetto soppressivo del preparato Bi.Bran MGN-3 sulla disfunzione epatica indotta da GaIN arrivava al suo culmine alla dose di 20 mg/kg, mentre a dosi più alte di Bi.Bran MGN-3 smetteva di salire ulteriormente.
Esperimento 2: In tutti i gruppi cui era stato somministrato Bi.Bran MGN-3 (non frazionato, frazionato, con peso molecolare alto o basso) gli aumenti dell’attività della GPT sierica conseguenti a disfunzione epatica indotta da GaIN sono apparsi significativamente repressi, rispetto agli aumenti riscontrati nel gruppo controllo. Gli effetti soppressivi del preparato Bi.Bran MGN-3 frazionato o non frazionato si sono rivelati di simile intensità.
Esperimento 3: Nei gruppi in cui era stato somministrato Bi.Bran MGN-3 idrolizzato, gli aumenti dell’attività della GOT sierica conseguenti a disfunzione epatica indotta da GaIN sono apparsi significativamente repressi, rispetto agli aumenti riscontrati nel gruppo controllo.
Esperimento 4: Nei gruppi in cui era stato somministrato Bi.Bran MGN-3 per via sia intraperitoneale sia orale, gli aumenti dell’attività della GOT sierica conseguenti a disfunzione epatica indotta da AAP sono apparsi significativamente repressi, rispetto agli aumenti riscontrati nel gruppo controllo.
Esperimento 5: Risultati simili all’esperimento n. 3 sono stati raggiunti con il Bi.Bran MGN-3 idrolizzato anche dopo somministrazione di AAP. Nei gruppi in cui era stato somministrato Bi.Bran MGN-3 idrolizzato, gli aumenti dell’attività della GOT sierica sono apparsi significativamente repressi, rispetto agli aumenti riscontrati nel gruppo controllo.
È stato dunque confermato che Bi.Bran MGN-3 ha effetti soppressivi sulla disfunzione epatica indotta da GaIN o AAP. La componente attiva HCl del preparato sembra non essere idrolizzante.
Yamada T. (Università di Chiba, GIAPPONE): Sintesi dell’intervento alla 6° riunione dell’Associazione giapponese per la ricerca sulle fibre alimentari, 2002
(g) L’assunzione orale del preparato Bi.Bran MGN-3 mitiga gli effetti della sindrome del raffreddore comune nelle persone anziane
Nelle persone ad alto rischio (come anziani e bambini) è importante prestare attenzione alle misure di prevenzione contro le infezioni (come il vaccino antinfluenzale) e soprattutto alla misure volte ad impedire infezioni batteriali secondarie. Studiando in base all’età i casi di polmonite contratta dall’ambiente e sviluppatasi tramite peggioramento di un raffreddore comune, è stato scoperto che il rischio di infezioni batteriali secondarie è più elevato negli anziani al di sopra di 75 anni. Il rischio di infiammazione concomitante dei polmoni è anch’esso più elevato nei pazienti anziani con patologie neurologiche, dov’è presente un alto rischio di aspirazione. Per questo motivo abbiamo studiato clinicamente l’apporto del preparato Bi.Bran MGN-3 come forma di prevenzione contro lo sviluppo di raffreddore comune negli anziani con capacità reattiva immunitaria ridotta in conseguenza di diversi fattori.
Tra il mese di gennaio e marzo 2002, tra i clienti del centro sanitario “Atreyu Uozaki” di Kobe, prefettura di Hjógó, è stato selezionato un gruppo di persone anziane senza alcuna patologia grave precedente e che hanno dato il proprio consenso alla partecipazione allo studio. Oggetto del test è stato un integratore alimentare, frazione del preparato Bi.Bran MGN-3 (HRB). Nel gruppo controllo è stata impiegata fibra di riso contenente principalmente componenti solubili in acqua (RB).
Per quanto riguarda i sintomi del raffreddore (febbre, mal di testa, stanchezza, brividi, tosse, muco, naso chiuso, mal di gola, dolore al torace), è stato calcolato il numero di giorni durante il quale si è manifestato anche uno solo di questi sintomi. Ciascun sintomo è stato caratterizzato da un punteggio a seconda dell’intensità (non manifesto = 0, moderatamente manifesto = 1, mediamente = 2, significativamente = 3). Successivamente il punteggio totale di ciascun paziente è stato diviso per il numero di giorni di assunzione di sostanza test e si è così passati al calcolo del “punteggio sintomatico del raffreddore” in ciascun paziente.
Risultati: tra i singoli sintomi, all’inizio del trattamento in entrambi i gruppi si osservavano alti livelli di “tosse”, “astenia”, “febbre” e “mal di gola”. Nel gruppo HRB il numero totale di giorni di presenza dei sintomi è risultato minore rispetto al gruppo RB. Nel gruppo RB è stato registrato il punteggio sintomatico più alto in termini assoluti. Nel gruppo RB il punteggio dei “sintomi nasali” è risultato relativamente basso, ma gli altri sintomi presentavano valori assai alti (“tosse”, “astenia” e “febbre”). Per questo motivo si è giunti alla conclusione che i sintomi del raffreddore comune erano presenti solo in misura minore nel gruppo HRB.
Lo studio ha mostrato che, in caso di somministrazione orale di HRB a pazienti anziani con raffreddore comune, l’azione immuno-stimolante dell’estratto accorcia la durata delle manifestazioni sintomatiche, senza peggioramento degli stessi sintomi e con riduzione del bisogno di ricorrere a terapie sintomatiche.
Tazawa K. (Università di Medicina e Farmacia di Toyama, GIAPPONE): Rivista di medicina tradizionale, 20 (3), 2003
3.7. Azione antiallergica
(a) Valutazione dell’azione di prevenzione del preparato Bi.Bran MGN-3 e mitigazione dei sintomi dell’asma nel modello asmatico murino
Nell’ambito di questo studio è stata monitorata l’azione preventiva del preparato Bi.Bran MGN-3 e la mitigazione dei sintomi dell’asma nel modello murino di asma indotta da diisocianato di toluene (TDI).
In fase iniziale è stata preparata una soluzione di acqua potabile e preparato Bi.Bran MGN-3 a concentrazioni di 2 g/litro. La stessa è stata poi somministrata ai topi (femmine di BALB/c), suddivisi in 4 gruppi (A-D):
Gruppo A: Bi.Bran MGN-3 è stato somministrato un mese prima e durante la fase di sensibilizzazione al TDI, ed ancora durante il periodo di tempo successivo.
Gruppo B: Bi.Bran MGN-3 è stato somministrato un mese prima e dopo, fino al termine della fase di sensibilizzazione al TDI.
Gruppo C: Bi.Bran MGN-3 è stato somministrato solo durante la fase di sensibilizzazione al TDI.
Gruppo D: Gruppo controllo.
Nel gruppo B è stata valutata l’azione preventiva. Nel gruppo C è stato invece studiato l’effetto di mitigazione dei sintomi. L’effetto del preparato Bi.Bran è stato valutato in base alle concentrazioni ematiche di istamina, numero di eosinofili nel lavaggio del parenchima polmonare (BALF), test di applicazione di TDI dall’auricola e valori di anticorpi tipo-specifici IgG1, IgG2a, IgE nel sangue durante la sensibilizzazione.
Le concentrazioni più alte di istamina nel sangue sono state misurate 7 minuti dopo la somministrazione di TDI, con i seguenti risultati: gruppo A: 2.5±0.53, gruppo B: 4.2±0.75, gruppo C: 4.3±7.8, gruppo D: 6.4±0.87 (ng/ml); dunque nei gruppi con somministrazione di Bi.Bran MGN-3, rispetto al gruppo controllo, sono stati osservati valori significativamente più bassi. Nell’ambito del test della sensibilità a diverse concentrazioni di TDI (0,01-10%) nei gruppi con somministrazione di Bi.Bran MGN-3 si è verificata una riduzione di 10-100 volte della sensibilità rispetto al gruppo controllo. Inoltre, nei gruppi Bi.Bran MGN-3 sono state riscontrate quantità assai più basse di eosinofili nel BALF ed anche valori più bassi nel testi di applicazione TDI. Dall’altro lato, nei valori degli anticorpi ematici, tra i singoli gruppi non sono state registrate differenze di grossa entità.
In conclusione si constata che la somministrazione del preparato Bi.Bran MGN-3 ha effetti manifestamente preventivi e mitigatori sui sintomi dell’asma nel modello murino di asma indotta da diisocianato di toluene (TDI). Lo studio suggerisce anche che Bi.Bran MGN-3 non ha influenza sulla formazione di anticorpi IgG1 o IgE (indotta da Th2) e che il preparato funziona come fattore soppressivo contro i mastociti.
Kobayashi H., Endo Y. (Università McMaster, CANADA): Sintesi dell’intervento alla 52° riunione annuale della Società giapponese degli allergologi, 2002
(b) Azione inibitoria del preparato Bi.Bran MGN-3 sulla progressione della dermatite atopica nei topi NC
Oggetto dello studio è stata l’analisi dell’azione immuno-regolatoria del preparato Bi.Bran MGN-3 sui topi NC, nei quali si sviluppa in maniera naturale un livello aumentato di IgE nel siero e – come reazione alla sensibilizzazione alle ovalbumine (OVA) – insorgono lesioni cutanee simili a dermatite. Bi.Bran MGN-3 è stato somministrato per via orale a cinque esemplari di topi NC; gli esiti sono stati poi confrontati con il gruppo controllo senza assunzione di preparato Bi.Bran MGN-3. I topi sono stati successivamente sensibilizzati alle ovalbumine. Ogni due settimane prima e dopo la sensibilizzazione sono stati prelevati campioni di sangue. Le quantità di IgE in generale, così come anche di IgE OVA-specifici nel siero (stabilite con test ELISA) apparivano ben più basse nei topi trattati con Bi.Bran MGN-3 rispetto al gruppo controllo. Inoltre, negli esemplari di NC senza Bi.Bran MGN-3 si sono sviluppate lesioni cutanee simili a dermatite atopica, mentre nei topi NC trattati con Bi.Bran MGN-3 questo tipo di lesione non si è sviluppata in cinque casi su cinque. In conclusione è stato constatato che Bi.Bran MGN-3 ha un’azione inibitoria sulla progressione della dermatite atopica nei topi NC.
Nonoyama S. (Università di Medicina e Odontoiatria di Tokyo, GIAPPONE): Sintesi dell’intervento all’11° riunione del Congresso internazionale degli immunologi, 2001
© Diritti d’autore 2003: Hiroaki Maeda / Daiwa Pharmaceutical
(Si ringrazia per l’autorizzazione a pubblicare il presente articolo sul sito Bi.Bran.org.)
